张洪 副教授 Associate Prof. Hong ZHANG
1. 基本情况
1.1 个人简介
姓 名:张洪
学 位:博士
职 称:副教授
职 务:副系主任
兼 职:智能计算与应用教育部重点实验室成员
上海市水利学会水工建筑专业委员会委员
中国岩石力学与工程学会人工智能技术实用化专业委员会委员
中国岩石力学与工程学会岩土体非连续变形分析专业委员会委员
1.2 教育工作经历
副教授 (2020.12–至今) :同济大学|土木工程学院
副研究员 (2018.12–2020.12):同济大学|土木工程学院
助理研究员(2016.02–2018.12):同济大学|土木工程学院
博士 (2012.06–2015.05):九州大学|工学院
硕士 (2009.09–2012.03):同济大学|土木工程学院
学士 (2005.09–2009.06):同济大学|土木工程学院
2. 科学研究
2.1 研究方向:“非连续力学数智分析”
欢迎感兴趣的学生报考硕/博士(研招网信息滞后,请与导师本人联系)

研究方向一:非连续力学分析理论与方法
学术成果1:一般块体系统切割方法(CUT)
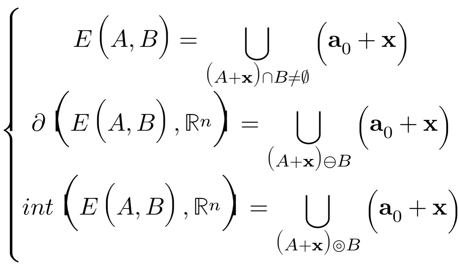
学术成果2:广义接触理论与计算方法(E(A,B))
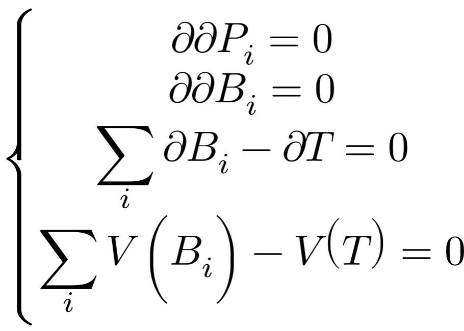
学术成果3:广义块体理论与计算方法(GBT)
学术成果4:块体系统接触动力学计算方法(DDA、NMM)
学术成果5:多物理场耦合动力学计算方法(SPH–DDA、dual-NMM)
研究方向二:深度流形学习与数智计算

|

|
coming soon |
coming soon |